mosfet的阈值电压及电压输出特点解析
场效应管 MOS管参数mosfet的阈值电压及电压输出特点解析
阈值电压
mosfet的阈值电压详解,什么是阈值电压?阈值电压 (Threshold voltage):通常将传输特性曲线中输出电流随输入电压改变而急剧变化转折区的中点对应的输入电压称为阈值电压.在描述不同的器件时具有不同的参数。如描述场发射的特性时,电流达到10mA时的电压被称为阈值电压。
如MOS管,当器件由耗尽向反型转变时,要经历一个 Si 表面电子浓度等于空穴浓度的状态。此时器 件处于临界导通状态,器件的栅电压定义为阈值电压,它是MOSFET的重要参数之一 [1] 。MOS管的阈值电压等于背栅(backgate)和源极(source)接在一起时形成沟道(channel)需要的栅极(gate)对source偏置电压。如果栅极对源极偏置电压小于阈值电压,就没有沟道。

mosfet的阈值电压输出特点解析
逻辑阈值电压
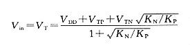
mosfet的阈值电压,由于逻辑阈值电压是式(10.1)中的-IDS与式(10.2)中的IDS相等时的电压,所以应用这个关系能够求得Vin:

假如KN=Kp,即KN/KP=1,经过选择恰当的p沟MOS晶体管与n沟MOS晶体管的参数,可以完成|VTP|=|VTN|,那么作为反相器,当然就能够得到如下理想的关系:

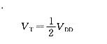
mosfet的阈值电压,实践上,这样的理想状态是不存在的。在版图设计中,经过设计恰当的p沟MOS晶体管与n沟MOS晶体管的W/L比,尽可能使VTP与VTN相等,能够得到接近1/2VDD的逻辑阈值电压。

CMOS反相器的传输特性


