村田TZC3 系列陶瓷微调电容器
一、特点
1.小型,外形尺寸为3.2(宽)×4.5(长)×1.6(高)mm。
2.彩色定片可以简化识别静电容量范围并减少安装失误。
3.可以使用厚度为0.5mm的常规工具进行调整。
4.可实现表面配装的自动固定。
5.耐热树脂材料可以承受回流焊接的温度。
二、应用
1.小型无线电
2.头戴式耳机
3.手写笔
4.便携式无线电设备
5.混合集成电路
6.移动电话
7.无线电话
8.免钥匙门控系统

三、结构

四、温度特性


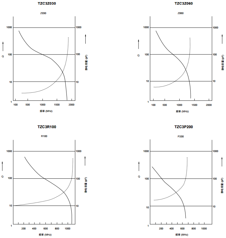
五、频率特性

六、焊盘布局

七、温度曲线


编辑:admin 最后修改时间:2018-06-19


