村田TZY2系列陶瓷微调电容器介绍
一、特点
1.小型与薄型,最大外形尺寸为2.5(宽)×3.2(长)×1.25(高)mm。
2.通过盖形的改善,使耐焊剂浸渍性比以往的产品更优越。
3.转子与定片之间的结合达到更高稳定性。
4.由于独特的无塑料材料结构,具有优异的焊接耐热性能,回流焊接后可保持性能的稳定性。
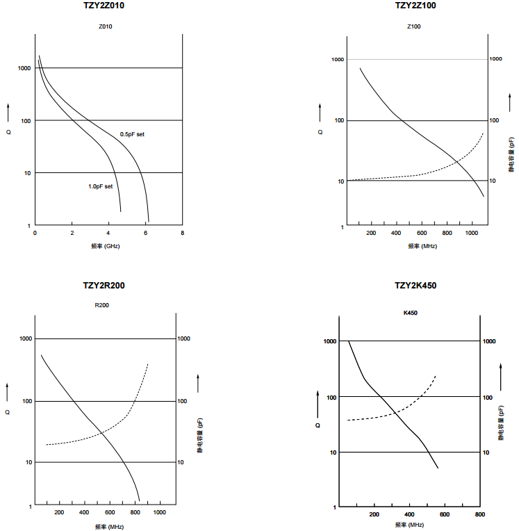
5.自我谐振频率高(TZY2Z010在1.0pF设定时为4.8GHz),最适用于高频电路。
二、应用
1.晶体振荡器
2.免钥匙门控系统
3.晶体滤波器
4.W-LAN
5.手写笔
6.雷达测量器
7.无线电话
8.小型无线电
9.PHS (无线市话手机)
10.DVD
11.寻呼机
12.防盗设备
13.移动电话
14.立体声耳机
15.手表。

三、结构

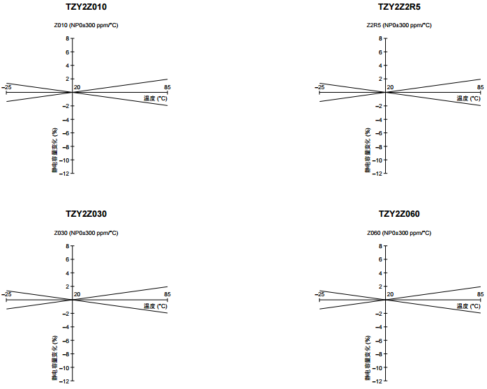
四、温度特性


五、频率特性

六、焊盘布局

七、温度曲线


编辑:admin 最后修改时间:2018-05-02


