WiFi产品波束成形方法研究

本文分析介绍了市场上现有的两种波束成形技术,一种是天线切换阵列波束成形,另一种是基于数字信号处理 (DSP) 的波束成形。其实这两种技术的效果都无法与相控阵技术PK,只是在802.11n/802.11ac时代,相控阵技术几乎无法实现。本文介绍的两种方法中,天线切换阵列方式以Ruckus为典型,DSP方式以思科为典型。本文转载自思科技术白皮书,所以会看到很多关于思科的赞美。

本文认为,两种方法均能带来一定程度的性能提升,但基于 DSP 的波束成形(如 ClientLink 2.0 中所采用的)效果更佳(尤其在支持客户端很多的网络时);因此出于下列原因,我们更倾向于使用这种方法:
1简介
随着 802.11n 系统在市场中的普及,波束成形逐渐成为了企业 WiFi 基础设施中的重要功能。
为理解其原因,首先要指出的是基础设施(无线接入点)侧的 11n 无线电往往比客户端侧具有多得多的收发器。例如,一台 11n 企业级无线接入点通常有三到四个收发器,而 11n 客户端(如手机或平板电脑)通常只有一个收发器。甚至笔记本电脑通常都只有一两个收发器。原因很简单:它们都受制于尺寸和功率(有时还有成本)限制。在一台移动设备上安装多个天线是很困难的,而且移动设备还会受到电池电量的限制。因此,在典型的企业方案中,通常会有一台 4×4无线接入点和一台 1×1 客户端。
在这样的收发器数量的组合下,由于空间流的数量受制于连接中天线最少的一侧,因而一个方向上只能传输一条空间流。但在传输单独一条空间流时,上行链路性能(从客户端到无线接入点)能够优于下行链路性能(从无线接入点到客户端)。原因是在上行链路方向,无线接入点的多个收发器可以实现增益合并,从而带来更强的信号。
波束成形是提高下行链路性能(无线接入点到客户端)的主要方法,它利用了无线接入点上的多个 MIMO 收发器。对下行链路传输使用波束成形,往往能够在上行链路和下行链路之间形成更为平衡的性能水平。并且由于下行链路方向的流量负荷通常更大,达到这一平衡能够带来更好的整体系统性能。
WiFi 企业级市场中已经存在两种基本的波束成形类型:天线切换阵列 (Ruckus及其模仿者) 和基于 DSP 的波束成形 (思科)。本文将探索这两种方式的区别,并论证为什么基于 DSP 的方式更优越。
2 波束成形的类型
如上所述,市场中存在两种类型的波束成形。注意,这两种方法都能提升下行链路方向的信号,但通常都不会对上行链路方向产生影响。
2.1 天线切换阵列
正旗通信注释:天线切换阵列方式以Ruckus为典型。
这类波束成形的基础是天线切换阵列,它可以使用多种定向天线模式。在天线切换阵列中,有一类有时称为“点触式二极管”阵列。简单而言,天线模式可以通过启用某些天线元件并禁用(接地)其它元件来实现天线模式的转换。元件的启用和禁用的结合可以产生不同的传播模式。例如,如果每个收发器的天线具有 4 个元件,则每个天线可以有 15 种可能的模式。(总共本应有 16 种模式,但禁用所有元件的模式是无效的。)如果一台无线接入点具有 3 个收发器,每个收发器有 4 个天线元件,则理论上总共可以得到 15 x 15 x 15 = 3375 种 MIMO 模式。该方式的思路是无线接入点通过试验不同的 MIMO 模式,识别出能够为特定的客户端位置带来最佳下行性能的 MIMO 模式。
另一种天线切换阵列具有单独的元件,这些元件都是定向的,并以一种扇形的方式排列。例如,围绕无线接入点设置六个天线,每个天线覆盖 60 度的区域,并具有两种极性,则可以形成十二个天线的配置。无线接入点可以再次试验哪一种天线元件的组合能够提供最佳的下行性能。

人们可能会产生一种疑问:除了下行链路方向,定向天线模式可以用于提升上行链路方向的增益吗? 通常的回答都是“不能”,至少对于上行链路数据包(而非 ACK 数据包)来说是这样的。在如图 2 所示的企业级方案中,一台特定无线接入点上连接有许多客户端,所以该无线接入点并不知道接下来哪一个客户端将传输数据包。因此,处于接收模式下的企业级无线接入点不得不使用全向天线模式,因而无法得到定向增益。如果选择定向模式作为接收模式,在对下一个传输数据的客户端判断错误的情况下,还会对性能产生负面影响。下图说明了为什么定向天线模式不能用于上行链路流量。

2.2. 基于 DSP 的波束成形
这类波束成形并不需要天线阵列,而是使用更传统的每个收发器一个天线元件的配置。与天线切换阵列不同,这种方法使用 DSP 技术,对各天线上传输的信号的相位和波幅(功率)进行调整。通过改变所传输信号的相位和波幅,无线接入点能够作出调整,使得客户端收到的信号得到建设性干涉,从而提高客户端处的信号质量。
2.2.1. DSP 波束成形的工作原理
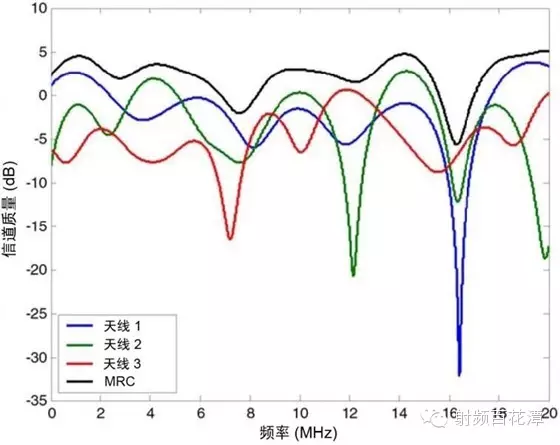
要理解其工作原理,请先看一个例子。在该例中,一台只有一个收发器的 802.11a/g/n 客户端向一台带有四个 MIMO 收发器的思科 802.11n无线接入点发送上行链路数据包。当无线接入点收到数据包时,它实际上收到了四个不同的信号(每个接收天线收到一个)。所接收的每个信号的相位和波幅都是不同的,这些参数取决于无线接入点上的天线和客户端上的天线之间的空间(或路径)的物理特性。使用信号处理后,通过调整所接收信号的相位和波幅以形成可能得到的最佳信号,无线接入点能够将从多个路径接收到的四个信号合并成一个增强的信号。对于单个数据流传输,完成这一合并工作的算法称为最大比合并 (MRC)。对于多空间流传输,情况要复杂一些,但基本算法可称为 MIMO 均衡。图 3 展示了 MRC 在补偿任意接收路径衰减并生成总体优良信号方面的优势。 下图展示了MRC算法如何提升接收质量。

DSP 波束成形技术在此基础上更进一步提升了下行链路方向的性能,即让客户端能够更清楚地接收到来自无线接入点的信号。在 WiFi 中,该信道是可反向的(即从无线接入点到客户端与从客户端到无线接入点是相同的),这是因为接收和传输都在相同的信道频率和天线上进行。由于无线接入点知道能使自己的接收器接收到最佳信号的相位和波幅,它也可以使用同样的相位和波幅(称为“权重”)来优化传输回特定客户端的信号。经过 DSP 波束成形算法的处理,客户端在其唯一的天线上也能接收到经过增强的最佳信号。确保 MIMO Tx 信号的相位一致性,使客户端接收到最佳信号。

注意,802.11a/g/n 信号使用的调制方案称为正交频分复用 (OFDM),该方案使用多个子载波。由于这些子载波在频率上被分隔,每个子载波在无线接入点和客户端之间会存在信道特性上的差异。因此,各子载波的相位和波幅将分别计算和存储。我们随后会在 DSP 波束成形的优点一节中再次讨论这一点,因为这是带来 DSP 波束成形的性能增益的主要因素。
2.2.2. DSP 波束成形适用于任何客户端
需要强调的一点是,2.2.1 节中阐述的 DSP 波束成形技术在实施时无需在客户端一侧安装任何特殊的硬件或软件功能。因此,这一波束成形技术适用于任何现有的 802.11 a/g/n 客户端。这类 DSP 波束成形的代表之一是思科的ClientLink 2.0 技术。它实施于思科 3600 /2600/1600 系列无线接入点中,兼容任何客户端(且能够支持多达 128 台802.11 a/g/n 混用的客户端)。请勿将这类波束成形与多种属于 11n 标准的可选波束成形混淆,后者通常不会在客户端中实施。11n 标准的波束成形方法要求接收设备(客户端)与传输设备 (无线接入点) 共享信道状态信息,否则波束成形无法工作。由于在实际情况中,客户端极少安装(或启用)对 802.11n 波束成形的支持,因此目前它能提供的实际好处有限,且预计这一情况在将来也不会有什么改观。
802.11ac 标准也定义了一种可选的 DSP 波束成形方法,这一方法预计能在客户端中得到更广泛的支持。但不幸的是,11ac 并不与 11n 芯片集向后兼容。因此,11ac 波束成形仅能在使用 11ac 无线接入点和 11ac 客户端且两者同时支持 11ac 波束成形的情况下带来优势。
注意,某些供应商声称,由于客户端的 Tx 路径和 Rx 路径存在差异,降低了信道的可反向性,所以没有客户端参与的 DSP 波束成形的效果欠佳。这一说法是具有误导性的,因为 Rx 路径对于波束成形的性能影响甚微。空中传输信道中唯一需要具备可反向性的部分是客户端的天线与无线接入点的 Rx 和 Tx 之间的部分。因此,要保持可反向性,无线接入点只需校准其自身的 Rx 和 Tx 路径之间的差异(思科已经做到了这点),且客户的 Tx 相在波束成形矩阵的计算中已完全将自身抵消。
3DSP 波束成形相比较于天线切换波束成形的优势
虽然通过天线切换实现波束成形的方法的确能带来一些好处,但基于 DSP 的波束成形仍然具有显著的优势。本节将阐述其中的主要优势。
3.1.1. 子载波单独优化
如前所述,DSP 波束成形的第一个主要优势是能够在子载波的级别上优化信号。请记住,40 MHz 802.11n 信号具有 114 个子载波(数据和前导),而 80 MHz 802.11ac 信号具有 242 个子载波。OFDM 信号的载波分散在这些范围宽广的信道中,而在不同的频率下,信号的反射方式也大不相同。如图 3 所示,在 1 MHz 下进入信道时,应当强调天线 1,然而在 16.5 MHz 下进入信道时,却应强调天线 3 而非天线 1。
因此,天线模式事实上应针对每一个子载波分别优化(至少应针对载波组)。在只有一个外部天线阵列时,对于所有子载波仅能使用一种模式。这自然导致该解决方案出现了妥协,它只能在整体上尝试选择最佳的模式,却无法针对各个子载波单独优化。
3.1.2. 巨量模式能够适应复杂的室内反射环境
天线切换阵列技术的供应商吹嘘他们能够从数千种天线模式中任选其一,来优化传向客户端的信号。如前所述,对于三个各自配有四个天线元件的收发器,可选的模式确有数千种。
但我们来看看 DSP 方式。一根天线上的单个子载波组的波束成形权重是一个 16 位值,这个值即为波幅和相位的编码。如果有 4 根天线,该值就会变成 64 位,即每个子载波组 1019(40 亿 x 40 亿)种天线模式。对于 40 MHz802.11n 信号的 30 个载波组,总的模式数则为 10578。(除了这些波束成形模式,DSP 软件还能为各空间流选择不同的分发功率。)因此可以看到,DSP 波束成形方法在选择最佳模式上具备极大的灵活性。
这对于室内环境而言尤为重要,因为在这些环境中可能存在成千上万次信号反射。事实上,视距中的信号路径往往并不显而易见或带来最强的信号,因为信号会穿透障碍物(如墙壁)。要优化这一异常复杂的信号,必须使用巨量模式,才能得到最佳信号。由于天线切换阵列的模式数量有限,它们不得不采用的模式往往会削弱部分反射路径的信号。
3.1.3. 更快地获得最佳天线模式
天线切换阵列方法的重大劣势之一是无法很快地确定最佳天线模式。在使用天线切换阵列时,为了确定最佳模式,无线接入点必须扫描可用的模式集,并衡量哪种模式似乎具有最佳的表现(通过数据包成功率或达到的 MCS 率来确定)。这一扫描过程将占用一些时间,这在客户端不断移动或环境变化剧烈(例如房间中有人员走动),或需要支持大量客户端的情况下尤其成问题。
相反,DSP 波束成形仅凭一个上行链路数据包就能获得最佳模式。只需运行 MRC(对于多流传输则运行 MIMO均衡算法),无线接入点就立即能知道通向客户端的信道,从而确定应使用的最佳波束成形模式。因此,DSP 波束成形方法在几微秒内就能得到最佳模式,而天线切换阵列方法则需要几毫秒至几秒的时间(取决于客户端数量)才能获得。所以,直接的结果是 DSP 波束成形对于快速变化的射频环境支持更佳,且在该环境中能够支持的客户端数量也更多。
3.2. DSP 波束成形的其它物理优势
3.2.1. 相较于天线切换阵列,DSP 波束成形具有 更好的扩展性
如前所述,天线切换阵列方法要求每个收发器具有多个天线元件。例如,对于 3 个各有 4 个元件的收发器,总共需要 12 个天线。
在 802.11n 和 802.11ac 系统中,不断增加收发器已经成为一种趋势。例如,早期的 802.11n 无线接入点有两到三个收发器,而现今的顶尖企业级无线接入点已经配有四个收发器。而随着 802.11ac 的第 2 波发布,还可能出现超过四个收发器的系统。(11ac 标准定义了最多八个空间流,而这需要至少八个收发器才能实现。)随着收发器数量的增长,天线元件的数量也呈倍数级增加。对于天线切换阵列方法,这将造成体积和成本上的难题。
3.2.2. DSP 波束成形无需射频开关
天线切换阵列方法的第二个物理缺陷在于切换开关自身。这些开关是启用或禁用单个天线元件以形成模式的必要部件。它们会造成传输信号的损失,而这也在一定程度上抵消了为客户端选择良好的定向模式所带来的增益。DSP 波束成形方法不使用切换开关,因而不存在因为开关引起的信号丢失。
4 两种波束成形方法的其它比较
4.1. 隐藏节点
在任何 WiFi 部署中都存在一个有趣的问题:隐藏节点。如果您不清楚什么是隐藏节点,我们将在此作一简要介绍。您也可以参阅图 5 中的说明。假设有 3 个排成一排的设备,A、B 和 C。设备 A 正在向设备 B 传输数据。设备 C距离很远,以至于它并不知道 A 正在传输数据,于是它也同时开始传输。不幸的是,B 离 C 很近,于是来自于 C的传输干扰了 B 侦听 A 的能力。

天线切换阵列将更多的能量集中在一个方向上发送,更容易导致第三台设备无法侦听到无线接入点向客户端的传输从而对该传输造成干扰,因此这种方法反而会引起更多的隐藏节点问题。
与之相反,DSP 波束成形则不会增加隐藏节点问题。原因是在通常的室内多路径环境中,DSP 波束成形并不会完全向一个定相方向发送信号。相反,对于每个子载波,信号的传播方向都是不同的,因此在整体上形成了众多的方向。从某种意义上讲,对这一效应最简单的类比是将无线接入点(在特定频率段)上的覆盖范围想象成一片瑞士奶酪。请参阅图 6。奶酪中的孔洞就是相消干涉偶然造成信号衰减的区域,在这些区域中信号等级很低。DSP 波束成形就像旋转对应频率段的奶酪片,使得孔洞始终与接收信号的客户端的位置错开。通过移动这些孔洞,整体性能也显著提高了。
然而旋转奶酪片对其它客户端会造成什么影响? 这是完全随机的,在大多数情况下不会造成什么影响,有时会增强信号,有时又会减弱信号。但由于整体影响是随机的,因此不会增加隐藏节点的数量。

4.2. 干扰抑制
某些天线阵列供应商声称,根据信号模式中的“前后比”增益,天线切换阵列还能在干扰抑制上带来优势。
这一论断是有误导性的,因为如前所述,在企业环境中,只有在同已知的客户端通信时,才能在下行链路方向使用定向天线模式。如果无线接入点处于 CSMA(载波侦听多路访问)侦听状态下,则是无法实现的。原因在于在企业环境中,一个无线接入点几乎总是要服务于多个客户端。在 CSMA 侦听状态中,必须使用全向模式,因为无线接入点不知道下一个将进行传输的客户端是哪一个。在全向模式下工作时,天线阵列不会有定向优势,因而也无法实现干扰抑制。
4.3. 极化增益
对于天线阵列,方法之一是使用极化的天线元件,这样阵列就可以在不同极性的模式间选择。信号的极化会造成影响。例如,由于手机天线的极化,为了播放视频而侧放的手机与其被竖直拿起时的性能是不同的。
但极化效应通常仅限于视距环境,如室外。在室内的多路径环境中,多个路径会引起大量极化差异,因此极化天线元件的优势也被大大削弱了。
5两种波束成形方法的增益分析
最后,波束成形解决方案的真正优势可以通过向特定客户端发送的信号的平均增益来衡量。
5.1. 天线切换阵列波束成形增益
对于天线切换阵列,增益来自于所选择的天线模式的定向增益。由于不同的时刻所用的模式也不同,我们可以看看多种模式的平均定向增益。但请注意,对于室内多路径环境,需要减去几 dB,因为即便在最佳模式下,某些原本能够到达客户端的反射信号也会被衰减。
在此我们以 Ruckus 7982 无线接入点为例,该无线接入点声称其“自适应天线增益”可达 6 dB。注意,对于 7962,Ruckus 还声称能够通过基于标准的 802.11n 波束成形获得额外 3 dB 的增益。如 2.2.2 节中所讨论的,这一论断是非常理想化的,因为没有有客户端配备了 11n 标准的波束成形。Ruckus 指出,这一增益将在“未来几年中客户端普遍获得兼容性”后实现。然而这一假设可能并不现实。因为没有明显的迹象表明在未来的任何时间 11n 客户端会加入对 11n 波束成形的支持。
5.2. DSP 波束成形增益
对于 DSP 波束成形,可以探讨一下基于信道数学模型的理论。某些增益是“阵列增益”,而另一些则是均衡信道的结果。阵列增益指的是实际波束模式的方向性。换句话说,阵列增益是波束形成器将波束“指向”客户端的能力。阵列增益可按如下方式直接计算:
GArray = 10Log10(nTx/nSS)
虽然阵列增益在 RSSI(接收信号强度指示)中能为客户端带来不错的提升,但它无法为在整个信号带宽中存在不均匀的 RSSI 的客户端带来相同的优势。在大多数非视距 (NLOS) 环境中,空中信道在整个 40-MHz 信道中变化剧烈,通常被称为频率选择性衰减信道。因此,即使某一组子载波能够良好地接收信号,另一些子载波组收到的信号的功率也常常明显低于其他子载波组(如图 3 所示,衰减可达 30 dB 甚至更多)。这些严重的频率选择性衰减正是对子载波逐一进行波束成形极其重要的原因。
由于客户端通常并没有多余的可用于 MIMO 均衡的接收天线,提升信道质量的重任便落在了无线接入点波束形成器上。而这正是 DSP 波束成形的强项,因为它能够针对各个子载波组分别进行波束成形。
虽然阵列增益可以直接计算,但确定整体波束成形增益(包括子载波逐一增益)却无法仅通过计算得到,而需要用信道模型模拟。例如,使用下列模型参数进行模拟:
6天线切换阵列无线接入点和基于 DSP 波束成形无线接入点的性能测量结果对比
为了为这些对比提供具体的数据,我们将比较两款使用两种不同的波束成形方法的企业级无线接入点。
对于天线切换阵列方法,我们选择了 Ruckus 7982 无线接入点。7982 是一款 802.11n 无线接入点,配备 12个天线元件,共 3 个收发器,工作频率为 5 GHz。
对于 DSP 波束成形方法,我们选择了思科的 3602i 和 3602e 无线接入点。3602i 是一款 802.11n 无线接入点,带有四个收发器和内置的全向天线元件,并配备称为 ClientLink 2.0 的 DSP 波束成形技术(该技术适用于所有802.11a/g/n 客户端)。3602e 与前者相同,但全向天线是外置的而非内置。
6.1. 测量结果
下行 TCP 吞吐量

7总结
如本文所述,波束成形逐渐成为 802.11n(及其后)企业级无线接入点的重要功能,因为它能够帮助平衡上行链路和下行链路的性能,并提高网络的容量。
目前市面上有两种波束成形实现方法:天线切换阵列和 DSP 波束成形。虽然两者都能带来一些好处,但事实证明DSP 波束成形方法能够提供许多优势(包括更好的性能),因而使其成为了目前的首选解决方案。

编辑:admin 最后修改时间:2017-09-17


