电感的测量方法
电感的主要特性是贮存磁场能。但由于它一般是用金属导线绕制而成的,所以有绕线电阻(对于磁芯电感还应包括磁性材料插入的损耗电阻)和线圈匝与匝之间的分布。采用一些特殊的制作工艺,可减小分布电容,工作频率也较低时,分布电容可忽略不计。因此,电感的测量主要包括电感量和损耗(通常用品质因数Q表示)两部分内容。
一、谐振法测量电感
如图1所示为并联谐振法测电感的电路,其中C为标准电感,L为被测电感,Co为被测电感的分布电容。测量时,调节信号源频率,使电路谐振,即电压表指示最大,记下此时的信号源频率f,则


图1 谐振法测量电感
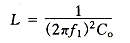
由此可见,还需要测出分布容Co,测量电路如图1所示,只是不接标准容。调信号源频率,使电路自然谐振。设此频率为f1,则


由上两式可得
将Co代入L的表达式,即可得到被测电感的感量。
二、交流电桥法测量电感
测量电感的交流电桥如图2(a)和(b)所示的马氏电桥和海氏电桥两种电桥,分别适用于测量品质因数不同的电感。

图2 交流电桥法测量电感
如图2(a)所示的马氏电桥适用于测量Q<10的电感,图中Lx为被测电感,Rx为被测电感损耗电阻,马氏电桥由电桥平衡条可得


一般在马氏电桥中,R3用开关换接作为量程选择,R2和Rn为可调元件,由R2的刻度可直读Lx,由Rn的刻度可直读Q值。图2(b)所示的海氏电桥适用于测量Q>10的电感,测量方法和结论与马氏电桥相同。
所有的介绍均由村田代理商颖特新提供

编辑:index 最后修改时间:2017-08-04


